READ THIS IMPORTANT ANNOUNCEMENT
ABOUT FUTURE OF NO OUTAGE.COM LLC

Page last updated Oct 20, 2021 @ 10:02pm

Voltage Drop Calculator - mini system

Please report any comments or issues here.

Use this calculator to estimate cable voltage drop for sizing conductors in a system when starting and running a motor.  A supply transformer and other miscellaneous loads can be modeled.

Methodology and Assumptions

The calculation assumes uncoated copper or aluminum conductors operating at the temperature selected and is based on the ac resistance or impedance from NEC 2005 Table 9 for stranded conductors at 75C operating on an AC 60Hz system.  Conductor temperature adjustments are made according to formulas in footnote 2 of NEC 2005 Table 8.  The ampacity of each conductor size shown for reference in the dropdown menus is based on NEC 2005 Table 310.16 for 60C insulated conductors rated 0 through 2000 volts with not more than three current carrying conductors in raceway, cable or earth with an ambient of 30C (86F).

Units herein are American Wire Gauge (AWG) and English (feet).

Calculation assumes that the impedance divides proportionally according to the number of parallel conductors.

This load flow assumes 1 p.u. (100%) Voltage at supply transformer primary, which is the same as an infinite source.

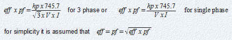
Motor parameters are from 2005 NEC Tables 430.248 and 430.250 for full load currents of ac induction motors running at usual speeds with normal torque characteristics.  The value of the (efficiency x power factor) can be calculated from the horsepower, current and voltage given.  The Full load efficiency and power factors are estimated as the square root of this value as follows:
            
This tends to overestimate the full load current resulting in slightly more voltage drop.

The "other loads" connected to the bus are treated as a single lumped constant current load.  This is equivalent to a combination of resistive loads and motor loads.  Resistive loads draw less current with reduced voltage.  Motors draw more current with reduced voltage and are modeled as constant kVA.  Therefore, the constant current model is a blend of both.

Additional assumptions stated with the referenced NEC Tables also apply, such as cable capacitance being ignored.

Instructions for Use

Do not mix single phase and three phase in same calculation as results will not be accurate.

The parallel runs selection refers to the number of parallel conductors per phase or per hot leg.  Examples for parallel runs: 120/240V single phase system with single black-red-white conductors (installed in single conduit) select "single set of conductors", 120/208V 3phase system with 2 conductors per phase and neutral (installed in 2 parallel conduits) select "2 conductors per phase in parallel."

To run this calculator JavaScripts must be enabled on your browser.

Actual ampacity and voltage drop for your application may differ from these results but in most cases will be very close to those shown here.

Results are believed to be accurate subject to the inputs and assumptions stated herein.  However the user should verify accuracy and suitability before all use for any purpose.  See our disclaimer statement here.

Click here for alternate calculator that only includes a single cable and fixed load.

 

Nominal L-L for multi-voltage and 3 ph systems.  Select 240V for 120/240V single ph system.  For other single phase systems select the L-N volts.
Nameplate rating and impedance for transformer.
   
Uncoated CU or AL conductor sizes with CU/AL 60C Ampacity listed at 30C ambient for reference.
NEC assumes 75C operating temp. If oversized a lower temp can be used but it should always be higher than ambient.
ft Length of cable 1 in feet (one-way distance).  See NOTE 1 for parallel runs.
   
Amps Bus load current in amperes and PF. Assumed constant with varying voltage.
   
Uncoated CU or AL conductor sizes with CU/AL 60C Ampacity listed at 30C ambient for reference.
NEC assumes 75C operating temp. If oversized a lower temp can be used but it should always be higher than ambient.
ft Length of cable 2 in feet (one-way distance).  See NOTE 1 for parallel runs.
   
Nameplate voltage is usually slightly less than system voltage above.
LR code Highest of kVA/hp range will be used for calculation.
Motor locked rotor PF. This data is not normally on nameplate.
     
Hide  Display 137 intermediate values      
Bus voltage and current before motor start.
Bus voltage and current during locked rotor.
Bus voltage and current after motor running.
Motor terminal voltage and current during locked rotor.
Motor terminal voltage and current after running.
See NOTE 2 below when interpreting results.

NOTES:

  1. Examples for parallel runs: 120/240V single phase system with single black-red-white conductors (installed in single conduit) select "single set of conductors", 120/208V 3phase system with 2 conductors per phase and neutral (installed in 2 parallel conduits) select "2 conductors per phase in parallel".

  2. Voltage drop for ac systems should total no more than 5% under full load conditions.  Drop may be significantly larger during surge or motor starting conditions -- sometimes in the 15% to 25% range.  Other devices on the system will need withstand this momentary dip if mis-operation is to be avoided.

  3. For most ac systems using cables of adequate ampacity, voltage drop is not a concern unless cable lengths are well over a hundred feet.

 

UPDATES:
03/10/2010 A correction made to steel conduit formula to fix run error.  Also fixed convergence formula that affected 3-phase motor run case.
06/21/2010 Corrected 500kVA 3ph transformer Sbase value.
01/06/2011 Added note to not mix single and three phase in same calculation.
05/16/2011 Added larger transformer kVA sizes and more impedances; deleted references to dc.
01/17/2016 Fixed Vm_after equations for 1phase and 3phase to correct motor low running voltage.
01/19/2016 Performed extensive checks of single phase and 3 phase test cases and no additional errors found.

   


Are YOU ready for the next power outage?

 1 Videos
 2 Outage Archives
 3 Utility Industry
 4 Why You Need Backup
 5 Personal Stories
 6 NoOutage Configurations
 7 Safety
 8 Sizing for Your Needs
 9 Voltage Drop Calculator
10 Test Reports
11 Placing Order
12 Equipment Leasing
13 Books & Videos  
14 Financing
15 Frequently Asked
16 Future Technologies
17 Electricity Glossary
18 Help with Plug Types
19 Who We Are
20 Why Buy Here
21 Our Customers
22 Pick a Contractor
23 Privacy Promise
24 Safe Shopping Guarantee
25 Terms & Conditions
26 What's New
27 Contacting Us
28 Parts Lookup
29 Parts & Service
30 Made in USA
31 Links

We welcome your feedback or questions.  Click here to contact us.
See our Terms & Conditions before using information or ordering from this web site.
Copyright © 1999-2025 NoOutage.com LLC. A Virginia LLC. All rights reserved.